Bibliografia:
Docente: João P. Santos
Aulas:
Avaliação: A avaliação é baseada em exercícios semanais, apresentações nas aulas práticas e um exame final.
Link
para a página no fénix com sumários das aulas
e secções do livro cobertas em cada aula.
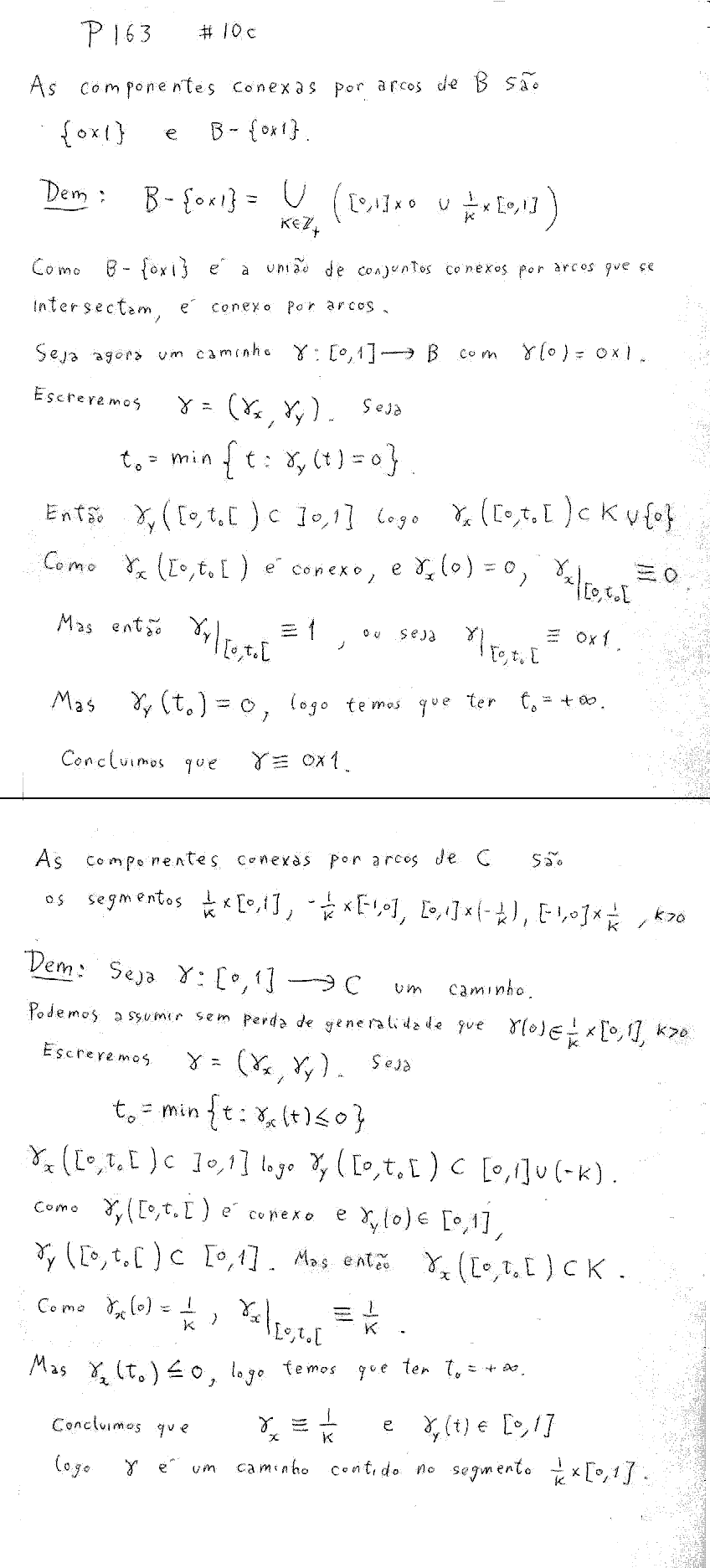
Resolução parcial do
exercício p163 #10c
Resolução do
exercício 3, alínea 2 do TPC #10
| Data |
# |
Sumário |
Exercícios para entregar |
Exercícios para as aulas práticas |
| 2ª 28 de Fev. |
1 | Espaços topológicos. Bases. Subespaços e
produtos. |
p83, #8,
p92 #3 |
Ficha #1 |
| 4ª 3 de Março |
2 | Vizinhanças, interior e fecho. Sucessões.
Espaços de Hausdorff. |
p101 #6 |
|
| 2ª 7 de Março | 3 | Funções contínuas. Homeomorfismos.
Topologia Induzida. |
p111 #7a,12 |
Ficha #2 |
| 4ª 9 de Março | 4 | Produtos e quocientes. |
p118 #7, p144 #1 |
|
| 2ª 14 de Março | 5 | Espaços conexos. Espaços conexos por arcos. |
p157 #1 |
p152
#6,11 p162 #1 |
| 4ª 16 de Março | 6 | Componentes. Espaços localmente conexos. | p152 #10, p163 #10 |
|
| 2ª 21 de Março |
7 | Espaços compactos. Espaços localmente compactos. | p171 #3,7,8 |
Ficha #4 |
| 4ª 30 de Março |
8 | Compactificações. O teorema de Tychonoff. |
p186 #3,5,6 |
|
| 2ª 4 de Abril | 9 | Axiomas de numerabilidade. Axiomas de separação. | p199 #6, p205 #3, |
p194 #3,
p199 #7 p227 #3 |
| 4ª 6 de Abril | 10 | Espaços normais. Lema de Urysohn. Variedades. |
p212 #2, p227 #1 (só regular) | |
| 2ª 11 de Abril | 11 | Teorema de Whitney. Espaços métricos. Axiomas de numerabilidade. | p126 #6, p194 #8 (RR,
nao Rw) |
p218 #4,5 p271 #9 |
| 4ª 13 de Abril | 12 | Metrização de Urysohn. Espaços métricos completos. Tietze. | p218 #3,8 (ver 7) |
|
| 2º 18 de Abril | 13 | Compacidade. Continuidade uniforme. Heine Cantor. | p270 #2 |
p270 #1,5 p292 #1,5 |
| 4ª 20 de Abril | 14 | Convergência uniforme em compactos. Teorema de Ascoli-Arzela. | p280 #2bc,5, p293 #4 |
|
| 4ª 27 de Abril | 16 | Topologia compacta aberta. Homotopia. |
TPC #9 |
Ficha #9 |
| 2ª 2 de Maio |
17 | Teorema de Baire. Espaços de Banach. | TPC #10 |
Ficha #10 |
| 4ª 4 de Maio | 18 | Teoremas da aplicação aberta, gráfico fechado, e Banach-Steinhaus. | ||
| 2º 9 de Maio | 19 | Teorema de Hahn-Banach. Topologia fraca. |
TPC #11 |
|
| 4ª 11 de Maio | 20 | Homotopia de caminhos. O grupo fundamental. Espaços de revestimento. | ||
| 2ª 16 de Maio | 21 | Acção do grupo fundamental na fibra. O grupo fundamental do círculo. | p347 #2, p366 #9ad |
p347 #4,5 |
| 4ª 18 de Maio | 22 |
Homeomorfismo induzido. Retracções. Teorema de Brower. | p335 #6, p366 #2ef (provar) |
p366 #2,6 |
| 2ª 23 de Maio | 23 |
Homotopia. Teorema de Seifert-van Kampen. | TPC #13 |
p453
#3,4,5,7 |
| 4ª 25 de Maio | 24 |
Aplicações a
superfícies. Complexos simpliciais. |
||
| 2ª 30 de Maio | 25 |
Classificação de
superfícies. |
p476
#4,5 (podem usar os resultados dos exercicios #2,3) |
|
| 4ª 1 de Junho |
26 |
Homologia. Espaços de
revestimento: levantamentos. |
||
| 2ª 6 de Junho |
27 |
Classificação de
revestimentos. O revestimento universal. |
||
| 4ª 8 de Junho |
28 |