Apontamentos e
acetatos das aulas
teóricas
Comentários, detecção de
erros e
sugestões bem-vindos (dirigidos a rpicken@math.ist.utl.pt).
- Aula 6 (12/3)
- Aula 7 (13/3)
- Aula 8 (16/3)
- Aula 9 (19/3)
- Aula 10 (20/3)
- Aula 11 (23/3)
- Aula 14 (30/3) * o
tratamento nesta aula foi menos formal do que o tratamento em
alguns dos apontamentos em baixo. Na aula de 6ª, 13
de Abril, estes assuntos voltarão a ser discutidos com mais
profundidade.
- Aula 17 (13/4)
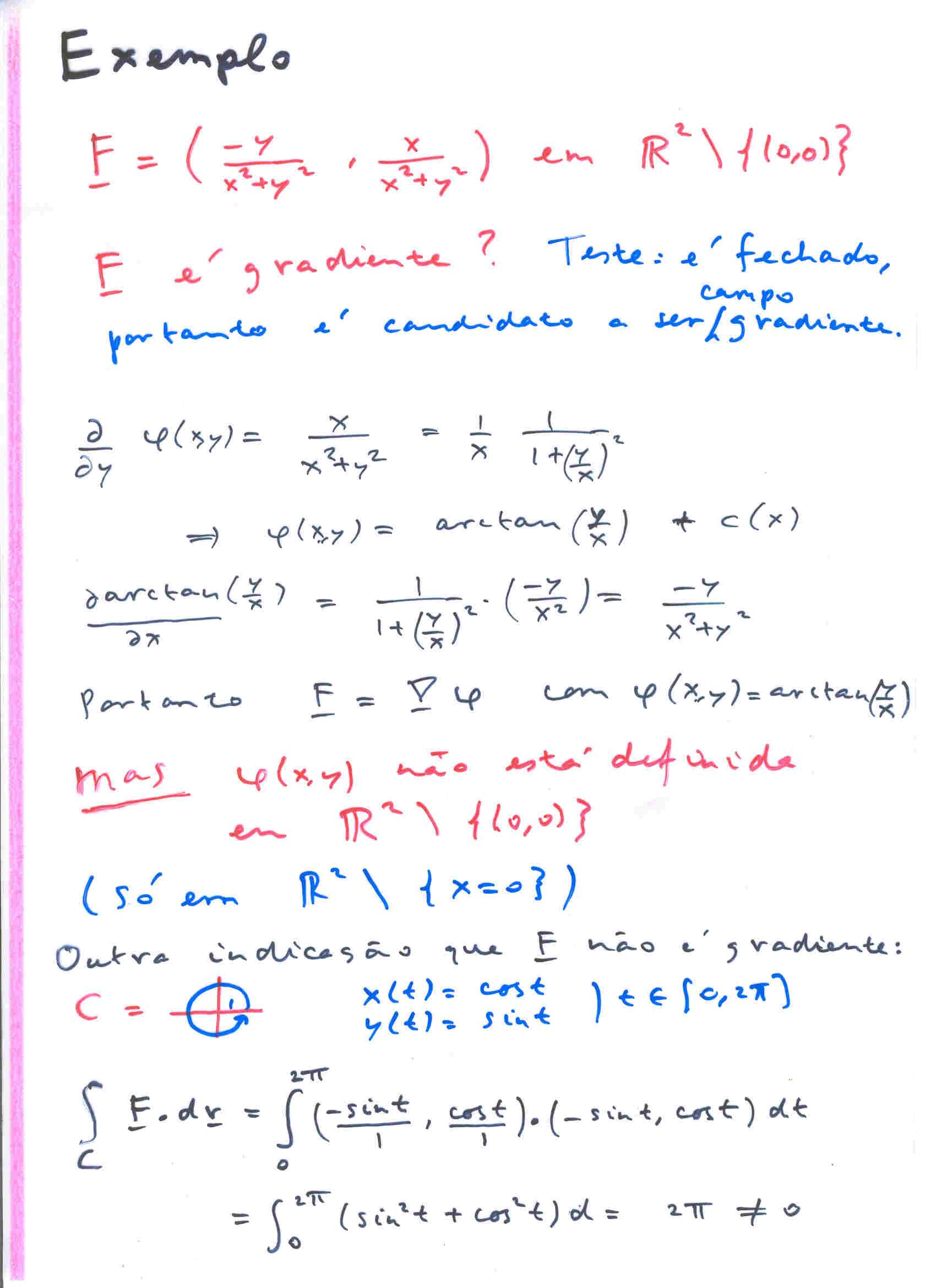
- 14-3_teorema_F_fechado_num_conjunto_em_estrela
*
- 14-4_homotopia+teorema_sobre_caminhos_homotópicos
*
- 15-1_teorema_F_fechado_num_conjunto_simplesmente_conexo
*
- 18-1_teorema_de_Green_e_área
*
- 18-2_exemplo_área_e_generalização_do_teorema
*
- 18-3_exemplo_teorema_de_Green
- 18-4_observação_e_área_de_um_polígono
- * veja os
apontamentos e acetatos das Aulas 15 e 16
- Aula 24 (30/4)*
*A matéria desta aula foi os extremos condicionados,
correspondendo aos apontamentos 27-1 a 27-8 colocados na aula 23.