|
para Sistemas Lineares |
Neste parágrafo, o objectivo é encontrar métodos que permitam aproximar a solução de um sistema linear, por forma a diminuir o número de operações (relativamente aos métodos directos), o que pode ser útil no caso de se tratar de um sistema com um grande número de equações, especialmente se a matriz possuir muitos elementos nulos.
Outra vantagem dos métodos iterativos é evitar os problemas de instabilidade numérica, que podem ocorrer num método directo.
Consideremos então um sistema genérico
vamos escrever A = M + N
e obtemos (M+N) x = b < = > x = M-1b - M-1N x
Daqui podemos retirar um método iterativo que consiste em:
| Escolher um vector inicial x(0) |
| Iterar x(k+1) = M-1b - M-1 N x(k) |
É importante que a matriz M seja mais muito mais simples do que A, porque senão não estariamos a simplificar o problema...
Note-se que esta iteração pode ser feita de outra forma, não havendo necessidade de se proceder verdadeiramente ao cálculo da inversa de M.
Consideramos a matriz A decomposta na soma de três matrizes A = L + D +U, onde L é a matriz triangular inferior, U a matriz triangular superior, ambas com zeros na diagonal principal e D a matriz diagonal.
Notamos que a matriz diagonal D não poderá ter zeros na diagonal principal. Caso isso aconteça, deve-se efectuar uma troca de linhas ou colunas na matriz A, para obtermos uma matriz D adequada.
| Iterada inicial x(0) |
| Iterar x(k+1) = D-1b - D-1 (L + U) x(k) |

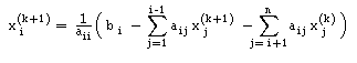
| Iterada inicial x(0) |
| Iterar x(k+1) = D-1b - D-1 L x(k+1) - D-1 U x(k) |

|
|
ou seja, o erro convergirá para o vector nulo (para uma qualquer iterada inicial)
se as sucessivas potências da matriz C tenderem para a matriz nula.
Teorema : ( Condições Necessárias e Suficientes de Convergência )
Qualquer que seja o vector inicial x(0) os métodos
iterativos convergem
sse
Corolário:
Temos as seguintes majorações para os erros:
Observação:
Podemos falar também de ordem de convergência, no caso vectorial, e estas majorações
revelam que estes métodos iterativos têm uma convergência linear .
Repare-se, por exemplo, no caso do método de Jacobi. Como C = D-1 ( L + U )

e relembrando que



Da mesma forma, considerando a norma ||.||1, podemos concluir que se

Este raciocínio pode-se aplicar também ao método de Gauss-Seidel e obtemos :
Teorema : ( Condição Suficiente de Convergência )
Se a matriz A tiver a diagonal estritamente dominante por linhas
ou por colunas, os métodos de Jacobi e de Gauss-Seidel convergem,
para qualquer vector inicial x(0) escolhido.
Observação:
Como C = M-1N = M-1 ( A - M ) = I - M-1A
quanto mais próxima de A fôr a matriz M, mais próximo da matriz zero
será valor de C, e consequentemente, mais rápida será a convergência do
método iterativo.
Nos casos dos métodos que estudamos, é intui-se que M está "mais próxima" de A no caso do Método de Gauss-Seidel (M = L + D ) do que no caso do Método de Jacobi ( M = D ).
Portanto, de um modo geral o método de Gauss-Seidel converge mais rapidamente. Há, no entanto, casos em que um método converge e o outro não!!!