| |
Tal como a Regra dos Trapézios, trata-se de outro exemplo de Fórmula de Newton-Cotes fechada, mas, ao invés de considerarmos a aproximação em cada sub-intervalo através de um polinómio interpolador do 1º grau (recta), podemos pensar numa aproximação um pouco melhor, considerando um polinómio interpolador do 2º grau (parábola). Para isso, ao considerarmos a regra de integração simples, precisamos de um ponto adicional, que será o ponto médio.
.| n = 2 | h = (b-a)/2 | x0 = a | x1= c = a+h | x2 = b |
a fórmula de integração será do tipo
e podemos obter os pesos A0, A1, A2, resolvendo o sistema linear
.
.
| S( f ) = I2( f ) = ( f (a) + 4 f (c) + f (b) ) h / 3 |
portanto
.No entanto, aqui não podemos aplicar directamente o teorema do valor intermédio para integrais, porque (x-a)(x-b)(x-c) muda de sinal no intervalo [a, b].
Introduzindo um ponto auxiliar d pertencente ao intervalo [a, b], podemos usar a definição de f [ a, b, c, d, x ] para obter
e substituindo na expressão do integral, como



Portanto, se f pertence a C4[ a, b ], o Erro da Regra de Simpson (simples) fica:
![]() |
Observação:
Por construção, sabiamos que a Regra de Simpson era exacta para polinómios do 2º grau, mas
esta fórmula do erro revela-nos que ela é exacta mesmo para polinómios do 3º grau!
Portanto, enquanto que a Regra dos Trapézios tem apenas grau 1, a Regra de Simpson tem grau 3.

Convém referir que, enquanto a Regra dos Trapézios composta corresponde a fazer a aproximação da função integranda através de um spline linear, no caso da Regra de Simpson composta, a aproximação feita não corresponde a um spline de grau 2, pois não exigimos regularidade da derivada nos nós. Essa regularidade não é necessária quando integramos. Aliás, geometricamente depreende-se que, exigir a regularidade da função aproximadora, nos nós, não traz aparentes vantagens para a aproximação da área delimitada pelo gráfico da função...
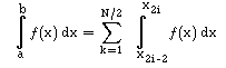
Para aplicar a regra de Simpson usando sub-intervalos, devemos considerar um número impar de nós N+1, de forma que ao dividirmos o intervalo [ a, b ] em N/2 sub-intervalos, obtemos os nós
Assim, podemos considerar três nós em cada sub-intervalo [ x2k-2, x2k ] :
Como


![]() |

a partir desta expressão, e de forma análoga, obtemos, a Fórmula do Erro para Regra de Simpson Composta:
![]() |