| |
Pode ser encarado como um caso particular do método do ponto fixo, onde é possível obter uma convergência quadrática. Basta reparar que se f '(z) =/= 0:
definindo a função iteradora g(z) = z - f(z) / f '(z), e os pontos fixos de g serão os zeros de f.
Para além disso, podemos ver que :
ora como f(z) = 0 então g'(z) = 0 . Pelo teorema anterior, usando esta função iteradora g, é possível arranjar uma vizinhança da raiz onde asseguramos, pelo menos, uma convergência quadrática (desde que f ' (z) =/= 0).
Portanto o método de Newton resume-se a efectuar as iterações:
| Iterada inicial: x0 |
| xn+1 = xn - f(xn ) / f ' (xn ) |
Historicamente, a origem do método de Newton é geométrica.
Consiste em definir a nova iterada a partir da intersecção com o eixo das abcissas da tangente
à função f (calculada na iterada anterior) :

É também claro, mesmo geometricamente, que não podemos ter iteradas em que f ' (xn) = 0, pois ficariamos com tangentes paralelas ao eixo das abcissas, que nunca o intersectariam (... na "nossa" geometria euclidiana!).
Para assegurar a convergência, podiamos aplicar o teorema do ponto fixo à função g do método de Newton, mas podemos estabelecer um critério mais simples :
Teorema (Condições Suficientes de Convergência para o Método de Newton):
Seja f uma função C2[a, b] que verifique :
então:
a equação f(x) = 0 tem uma solução única z pertencente ao intervalo [a,b] e
o método de Newton converge para essa solução :
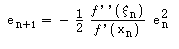
Fórmula do Erro do Método de Newton
Obtém-se, facilmente, através do desenvolvimento em série de Taylor (em torno de xn):
Dividindo por f ' (xn ), não nulo, ficamos com:

|
na prática, se tivermos assegurado as condições de convergência num intervalo [a,b], podemos garantir:

| |
É muito semelhante ao Método de Newton, mas substitui o cálculo das derivadas
pelo cálculo de uma razão incremental.
Geometricamente, corresponde a substituir o papel da tangente, no método de Newton,
por uma secante (de onde vem o nome).
É claro que isto significa que vamos precisar sempre de dois pontos para a determinar,
o que implica que tenhamos que considerar duas iteradas iniciais, que designamos por
x-1 e x0.

De forma semelhante à que fizemos no método de Newton, calculando agora o ponto de intersecção da secante com o eixo das abcissas, obtemos a fórmula para xn+1, e o método da secante fica:
![]() |
Condições Suficientes de Convergência:
São idênticas às enunciadas para o Método de Newton, apenas a condição 4b) deverá ser substituída por
Fórmula do Erro :

Neste caso a ordem de convergência é supra-linear mas não é quadrática.
( Usando logaritmos, e o facto que o limite da razão de uma sucessão de Fibonacci é
o número de ouro p=1.61803... pode-se verificar que a ordem de convergência dá exactamente
este valor.)